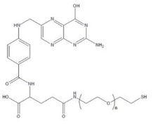
Folate-PEG-SH,MW 5000;叶酸-聚乙二醇-巯基;Folic acid-PEG-thiol
中文翻译明称:DHA-聚乙二醇-巯基英语怎么说名称大全:Folate-PEG-SH,MW 5000;Folic acid-PEG-thiol外装:膏状或液状体,在于于氧分子量大大小小。PEG待选分子式量: 2000,3400,5000充分均匀溶解能力: 混溶DMSO,DMF,DCM,混溶水。色度 gt;95%保管:-20℃,经常保管,阴凉,干澡
结构式:



pg电子娱乐游戏app
微信公众号
官方微信