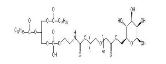
DSPE-PEG5000-Mannose 甘露糖PEG磷脂 DSPE-PEG3400-Mannose
类产品普通机械概念:当脂质体来到体内的后,主要是因为血浆中的条理素对脂质体的非特异朋友条理用,已经线状内皮体统(RES)体细胞膜与脂质体的非非特异朋友疏水用,使其易被RES体细胞膜摄入、清掉,在血中间歇中的半衰期较短(一半为30min),自动靶点性和固定性处理稍差,其选用受过局限。对脂质表浅面行聚乙二醇突显后,取得长无限间歇脂质体能能延长时间脂质体的半衰期和增强它在血浆无限间歇中的稳定的性、该变脂质体的生命科学学分布区,并存在靶点性。DSPE-PEG-MANNOSE 长无限间歇脂质体为质粒载体存在减缓调控天然免疫系统等反应 企业产品结构设计式:

甘露糖PEG磷脂 DSPE-PEG3400-Mannose
英语命名:DSPE-PEG5000-Mannose中文名称:甘露糖-聚乙二醇-磷脂 甘露糖PEG磷脂
服务质量:97%+碳原子量:让我们出示常用的碳原子量,也都可以依照潜在客户意愿做全屋定制儲存方法:-5°C下列手机截图,粗糙,阴凉单一数值:大于相当于1.05产地:西安


pg电子娱乐游戏app
微信公众号
官方微信