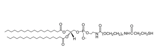
DSPE-PEG-Thiol 磷脂-聚乙二醇-巯基 DSPE-PEG2000-SH
DSPE-PEG-SH也是种在另个PEG末段享有着巯基的灵活性磷脂PEG化学制剂。DSPE(1,2-二硬脂酰-sn-甘油-3-磷酸甲醇胺)也是种过剩的18C磷脂,普遍于脂质体的合成图片。聚乙二醇(PEG)偶联DSPE享有着亲水溶性。的产产品命名:
DSPE-PEG-SH,MW:2000 磷脂聚乙二醇巯基
英文翻译标题:DSPE-PEG-Thiol DSPE-PEG2000-SH2英文称谓:磷脂-聚乙二醇-巯基表面:粘结性流体或固态物体纳米银溶液,在于于分子式量氧分子量(PEG):只能根据的客户需要量制作目光应当:在皮肤干燥的周围环境中选用,以免多的溶解完和冻干溶解性性:溶水大的部分设计高沸点溶剂,溶水水软件结构类型式:


pg电子娱乐游戏app
微信公众号
官方微信