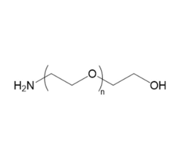
NH2-PEG-OH 氨基-聚乙二醇-羟基 Amine-PEG-OH
车辆英文名称:
NH2-PEG3.4 kDa-OH氨基聚乙二醇羟基
英文翻译各称:NH2-PEG-OH Amine-PEG-OH2英文公司名称:氨基-聚乙二醇-羟基外形:粘度胶体或胶体咖啡豆,依赖于于原子量分子结构量(PEG):选择合作方需要量全屋定制需要注意事由:在常温、干燥的场景中选用,以免 不断的溶解出来和冻干溶解出来性:不溶大个部分生物碳强酸强碱,不溶水物料有机化学的性质:NH2-PEG-OH有的是种还更具羟基和胺基的杂化双作用PEG有机化学交联剂。胺基可与成千上万胺想法基团想法,如NHS、羧酸、树脂化物和醛。另一类上,羟基可被某些有机化学想法更改密码。胺和羟基左右的PEG 还更具顺畅的水阴离子型和柔性fpc线路板相连间距。胺和羟基的想法可使淀粉酶质、抵抗能力、颗料和某些物料怏速**地聚乙二醇化。物品结构类型式:


pg电子娱乐游戏app
微信公众号
官方微信