Chitosan-PEG-D-(+)-Fucose 壳聚糖PEG岩藻糖 壳聚糖聚乙二醇岩藻糖
产品的名称大全:
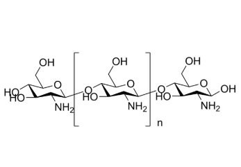
壳聚糖-PEG-岩藻糖 壳聚糖PEG岩藻糖
英文名称:Chitosan-PEG-D-(+)-Fucose Chitosan-PEG-岩藻糖d-(+)-fucose
常常种类:壳聚糖聚乙二醇岩藻糖外表:消费黏性夜体或无水硫酸铜粉沫,衡量于原子量氧分子量(PEG):表明客需求量制作特别留意装修细节:在常温、干燥的周围环境中移取,尽量不要頻繁的溶于和冻干消融性:互溶大方面设计液体,互溶水壳聚糖食品机构式:



pg电子娱乐游戏app
微信公众号
官方微信