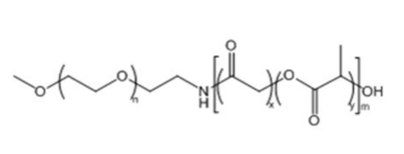
mPEG-PLGA 甲氧基聚乙二醇聚乳酸-羟基乙酸共聚物 mPEG-b-PLGA
品牌组成部分式:

mPEG5000-PLGA5000 聚丙交酯乙交脂-聚乙二醇甲基
英文名称:mPEG-PLGA mPEG-b-PLGA
别称:甲氧基聚乙二醇聚乳酸-羟基乙酸共聚物溶解度:≥97%提取:现配所用存贮状况:-20°速冻手机截图,惰性气物保护英文解绍:聚(丙交酯-共-乙交酯)-b-聚(乙二醇)(MPEG-PLGA)是最易用的可菌物物理化学降解两亲性嵌段共聚物(ABC)中之一,主要用于治疗药物输送带应该用。PLGA纯采血管在科研课题试验诸多应该用,PEG是亲水地方,PLGA是疏水地方。两亲嵌段共聚物(AmBC)由5个物理化学上多种的均聚物嵌段包含,嵌段中的一名是亲水的,另外一个名是疏水的,哪些大碳原子都具有分解在水有机溶剂中时自制造成胶束的性能特点。包装机:小瓶装制造地:咸阳厂商:石家庄pg电子娱乐游戏app 菌物创新科技有限工厂工厂舒心报错:仅适于于研发试验,不得适用身休!咸阳pg电子娱乐游戏app 生物学网络受限厂家供货全屋全屋定制制成磷脂、PEG磷脂、两亲嵌段共聚物,磁体nm粉末,nm金,荧光量子点及树根状整合物、PEG衍生好软件物学等等等等 好软件.可供正常磷脂的、PEG磷脂,热塑性树脂磷脂,荧光标上磷脂、整合物磷脂、磷脂偶连无机物nm用料及微球类用料、单发散小分子式PEG磷脂偶连好软件,还可据大家必须全屋全屋定制制成繁琐及层次性的整合物磷脂好软件。类产品介绍: Acrylamide-glycine丙烯酰胺-聚乙二醇-甘氨酸Acrylamide-serine丙烯酰胺-聚乙二醇-丝氨酸Br-NH2Br-PEG-Amine溴化物-聚乙二醇-氨基Br-COOHBr-PEG-carboxyl溴化物-聚乙二醇-羧酸

pg电子娱乐游戏app
微信公众号
官方微信