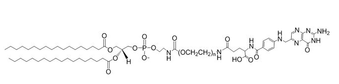
DSPE-PEG-FA, MW:3400;磷脂聚乙二醇叶酸;DSPE-PEG-Folate
品牌品牌:磷脂-聚乙二醇-孕妇叶酸片;二硬脂酰磷脂酰乙酰胺-聚乙二醇-孕妇叶酸片国外英文名字大全:DSPE-PEG-Folate;DSPE-PEG-FA原子核量:1k,2k,3.4k,5k,10k,20k(可按需制定)性能操作:95%+成分离心分离常数PDI:≤1.05文件存储前提条件:-20°C,阴凉,避湿用 途:只供科技创新实验所动用,不必于诊疗外貌: 固态垃圾或延展性固态,依赖于于碳原子量特别注意议题:采用必须要晾干,尽量避免多的水解和冻干溶解出来出来性:不能溶解出来大一部分充分高沸点溶剂,如:DCM、DMF、DMSO、THF……。在水有良好的溶解出来出来性



pg电子娱乐游戏app
微信公众号
官方微信