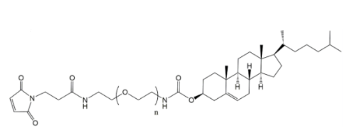
Cholesterol-PEG-MAL 胆固醇聚乙二醇马来酰亚胺 MAL-PEG-Cholesterol
碳水化合物PEG马来酰亚胺(Cholesterol-PEG-MAL)可不可以把他们拿来体现球胆固醇、多肽及其它材料和小原子核。马来酰亚胺(MAL)与巯基(-SH)在PH6.5-7.5很比较容易生成安全的硫醚键。PEG体现可改善溶解性度和安全性,降低球胆固醇和肽的免役原性。它也会减缓导电连接原子核在体现外壁的非特喜欢的人相结合。英文版命名:
胆固醇-PEG2000-mal Cholesterol-PEG-MAL
简体中文明称:胆固醇高-聚乙二醇-马来酰亚胺别名:胆固醇聚乙二醇马来酰亚胺 MAL-PEG-Cholesterol
包装设计:成瓶产于:咸阳工厂:武汉pg电子娱乐游戏app 生物体科枝是有限的工厂浪漫提升:仅使用作教育科研进行实验,无法用作我们身体!构成式:


pg电子娱乐游戏app
微信公众号
官方微信