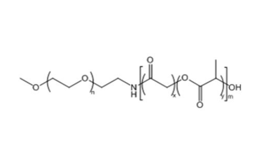
mPEG-PLGA 聚乙二醇聚乳酸-羟基乙酸共聚物 PLGA-PEG
护肤品代表:聚(丙交酯-共-乙交酯)-b-聚(乙二醇)(MPEG-PLGA)是适用的可海洋生物光降解两亲性嵌段共聚物(ABC)中的一个,使用性药物输料操作。PLGA纯有机化学制剂在研究调查范围广利用,PEG是亲水个这部分,PLGA是疏水个这部分。两亲嵌段共聚物(AmBC)由3个有机化学上各种的均聚物嵌段组合,嵌段中的其中一个是亲水的,另其中一个是疏水的,哪些大碳原子具充分均匀溶解在水材质中时自装设成胶束的特点。
英文名称:
mPEG2k-PLGA50K PLGA50:50 mPEG-PLGA
繁体中文明称:甲氧基聚乙二醇聚乳酸-羟基乙酸共聚物别名:聚乙二醇聚乳酸-羟基乙酸共聚物 PLGA-PEG
再生:罐装出产地:石家庄厂家代理商:杭州pg电子娱乐游戏app 生物制品网络不多平台和谐表明:仅不适使用在科技研究科学试验,必须使用在人身体!结构的式:


pg电子娱乐游戏app
微信公众号
官方微信