PLGA-PEG-MAL/Maleimide;聚乳酸-羟基乙酸共聚物聚乙二醇马来酰亚胺
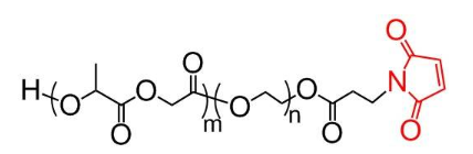
【有机化合物称呼】聚(D,L-乳酸-co-无水乙醇酸)-聚乙二醇-马来酰亚胺、PLGA-PEG-MAL【氧化物参数值详情页】遗传性状:浓稠状也可以无水硫酸铜,衡量于原子量。可溶性高,溶于水的度:二氯二氧化氮、DMF、DMSO。处理环境:-20℃干、背光环境下保留。规格尺寸:50/50 75/25分子结构量(PLGA):5000-30000相互间订做碳原子量(PEG ):2000、3400、5000,其他碳原子量能够 自定义。为保持服务的维持性,请关注在恒温恒湿粗糙后期方可使用内包装提取!



pg电子娱乐游戏app
微信公众号
官方微信