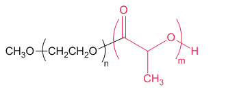
mPEG-PLA 甲氧基聚乙二醇聚乳 PLA-MPEG
使用用途:mPEG-PLA不是种嵌段共聚物,一面是亲水链段-甲氧基聚Z醇,一面是亲油链段-聚乳酸。顺利通过的调整大分子量某些亲水/亲油链段指数值,甲氧基聚乙二醇聚乳酸能否看做各种不同常见中成药的形式食材,并增长中成药的水可溶性与包封率和载药量。
英文名称:
mPEG5000-PLA2000
英文版品牌:甲氧基聚乙二醇-聚乳酸别名:mPEG-PLA 甲氧基聚乙二醇聚乳酸 PLA-MPEG
包装机:桶装产自:西安市生产商:咸阳pg电子娱乐游戏app 菌物新材料技术有现大公司温暖表明:仅适用性于研发实验室,切勿适用身休!格局式:


pg电子娱乐游戏app
微信公众号
官方微信