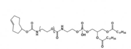
DSPE-PEG-TCO 反式环辛烯聚乙二醇磷脂 TCO-PEG-DSPE
英文版名称大全:
DSPE-PEG2k-TCO
中文名字字名字大全:磷脂聚乙二醇反式环辛烯别名:DSPE-PEG-TCO 反式环辛烯聚乙二醇磷脂 TCO-PEG-DSPE
反式环辛烯(TCO)就是一种很重要的有机的炼制中央体,它的化学物质的结构类型是由两人环辛烯制成的反式的结构类型。反式环辛烯(TCO)做为亲双烯体与S-四嗪(Tetrazine)在生理变化状态下的体现没有需促使剂、体现速度快的优势,被很广用途于动物和建筑材料物理钻研的钻研中。彩盒:单瓶产于:咸阳企业:宝鸡pg电子娱乐游戏app 生态学自动化有限司英文司舒适提升:仅符合于科学调查,无可用做人体本身!组成式:


pg电子娱乐游戏app
微信公众号
官方微信