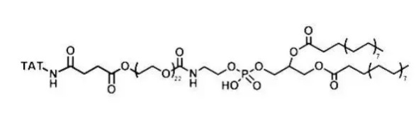
DSPE-PEG-TAT 多肽TAT聚乙二醇磷脂 TAT-PEG-DSPE
汉语称谓:
DSPE-PEG2000-TAT
英文名称:DSPE-PEG-TAT 多肽TAT聚乙二醇磷脂 TAT-PEG-DSPE
俗名:磷脂聚乙二醇多肽TAT成分式:


pg电子娱乐游戏app
微信公众号
官方微信