mPEG-b-PLGA 聚乙二醇-聚乳酸-羟基乙酸共聚物 plga-peg
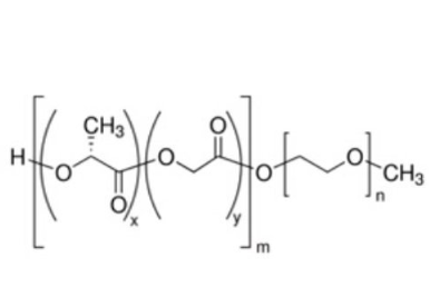
使用简洁:PEC-FLGA是由亲水性树脂树脂嵌段聚乙二醇(PEC)和瀑布流水性树脂树脂嵌段聚丙交酶-乙交(PLGA)组合的两亲性二嵌段共聚物。 PEC整合物被甲基酷基封端,疏水性树脂树脂嵌段的未端为轻基。拥有可菌物化学降解和菌物混溶性聚酷链段的聚乙二醇化共聚物能用于制作核-壳胶束,nm颗料和微球英文姓字名字:
聚乳酸-羟基乙酸共聚物聚乙二醇
英文名称:mPEG-b-PLGA
别名:聚乙二醇-聚乳酸-羟基乙酸共聚物 plga-peg PEG聚乳酸-羟基乙酸共聚物
节构式:


pg电子娱乐游戏app
微信公众号
官方微信