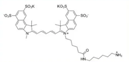
Sulfo CY5.5 NH2;CAS号 2183440-46-0;磺酸化CY5.5氨基
英文怎么说名:Sulfo-Cyanine5.5 amine
Sulfo-Cy5.5 amine
Sulfo-Cy5.5 NH2
中文名:磺酸化CY5.5氨基
磺化Cy5.5-伯胺
水溶性Cyanine5.5氨基



pg电子娱乐游戏app
微信公众号
官方微信