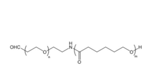
CHO-PEG-PCL 聚已内酯-PEG-乙醛 aldehyde-PEG-PCL
中文明称:
聚已内酯-PEG-醛基
英文翻译英文名字称:CHO-PEG-PCL别名:聚已内酯-PEG-乙醛 aldehyde-PEG-PCL 醛基-聚乙二醇-聚已内酯
的外观:粘度液态物质或固态颗粒,衡量于分子式量大分子量(PEG):不同客人意愿个性空间结构简式:


pg电子娱乐游戏app
微信公众号
官方微信