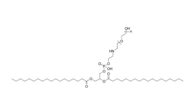
DSPE-TK-PEG MW:3400 聚乙二醇3400-TK-磷脂 DSPE-TK-PEG MW:5000
中文字标题:
聚乙二醇-TK-磷脂 磷脂-酮缩硫醇-PEG2000
英文版种类:DSPE-TK-PEG MW:3400别名: 聚乙二醇3400-TK-磷脂 DSPE-TK-PEG MW:5000
金属机身:沾性气体或固状颗粒,决定于分子结构量分子结构量(PEG):要根据顾客需要量来样加工设备构造式:


pg电子娱乐游戏app
微信公众号
官方微信