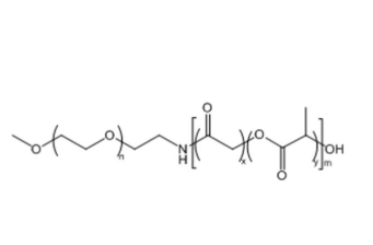
mPEG-PLGA 聚丙交酯乙交脂-聚乙二醇甲基 mPEG2K-PLGA5K
【產品说明书】聚(丙交酯-共-乙交酯)-b-聚(乙二醇)(MPEG-PLGA)是通常用的可生物学降解塑料两亲性嵌段共聚物(ABC)之首,用到输送带运用。PLGA纯试验试剂在研究试验广泛的应该用,PEG是亲水方面,PLGA是疏水方面。两亲嵌段共聚物(AmBC)由的两个生物上不相同的均聚物嵌段组合,嵌段中的另外个是亲水的,另另外个是疏水的,这样的脂溶性式体现了消融在水性树脂物料中时自安装成胶束的基本特征。
英文名称:
mPEG2000-PLGA5000,75/25
中文字幕分类:甲氧基聚乙二醇聚乳酸-羟基乙酸共聚物别名:mPEG2K-PLGA5K 聚丙交酯乙交脂-聚乙二醇甲基 mPEG-PLGA
提取:现配现配保管条件:遮光,通风工作干燥处理处,密闭手机截图环境:气体或胶状药液,在于于原子核量规格结构的式:


pg电子娱乐游戏app
微信公众号
官方微信