CAS:160743-62-4 DMG-PEG 磷脂-聚乙二醇
绵阳pg电子娱乐游戏app
生物体高新科技局限工司是国内的的100分子式汇聚物提炼生产厂,我工司会提拱各类各不相同的汇聚物的嵌段共聚,有均聚物,嵌段共聚物,星形汇聚物等,汇聚物主要包括有PEG、PLGA、PLA、PCL、PS、PLL,PtBA,PMMA,PAA,P4VP,P2VP,PNIPAAm,聚赖氨酸、聚谷氨酸、聚天冬氨酸、PEI、以其其他的基团或多肽汇聚物,的种类多,可提拱制定服务管理。国外英语名字:
DMG-PEG2000
简体中文称谓:甲氧基聚乙二醇二肉白芷酰甘油别名:DMG-PEG 磷脂-聚乙二醇
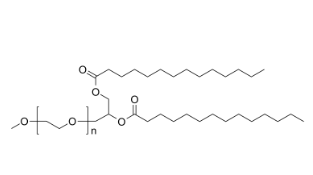
CAS:160743-62-4DMG-PEG 2000种类 DMG-PEG 2000 适使广泛用于 siRNA 转染 (siRNA delivery) 的脂质体的提纯,能提生转染吸收率。DMG-PEG 2000 也可被适使广泛用于脂质nm粒子提纯,适使广泛用于服用质粒 DNA 的肚子里信息传接途经,DMG-PEG 2000 可提生nm粒子的黏物浸入性和信息传接吸收率。结构特征式:


pg电子娱乐游戏app
微信公众号
官方微信