PLA-NHS,聚乳酸改性N-羟基琥珀酰亚胺,PLA2K-NHS
PLA-NHS,聚乳酸改性材料N-羟基虎珀酰亚胺,PLA2K-NHS汉语名字大全:聚乳酸-N-羟基琥铂酰亚胺英文翻译公司名称:PLA-NHS外观设计:液态物质/液态物质充分均匀溶解性:易不溶DMSO、DMF,DCM,易不溶水纯净度:95%+贮存的条件:-20℃下遮光烘干存为使用用途:仅用到科技创新,没法用到人身体厂商:广州pg电子娱乐游戏app
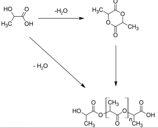
生物学聚乳酸(PLA)就是一种新型的的生物学工程光光降解装修材料,在使用可再生资源英文能力的蕨类植物资源英文(如王米)所入宪的海藻酸钠奶茶材质提炼出。海藻酸钠奶茶材质依靠糖化达到红提糖,再由红提糖及需要的菌株进行发酵提炼出高饱和度的乳酸,再根据化工制作而成方式 制作而成需要分子结构量的聚乳酸。其极具好的生物学工程可光光降解性

相关产品:


pg电子娱乐游戏app
微信公众号
官方微信