1445723-73-8 NHS-PEG-DSPE 磷脂聚乙二醇活性酯 DSPE-PEG-NHS
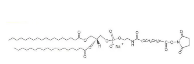
中文名字简称:磷脂聚乙二醇吸附性酯英文音标公司名称:DSPE-PEG-NHS英文翻译学名:NHS-PEG-DSPECAS:1445723-73-8概述:DSPE-PEG-NHS不错实现NHS与胺的作用迟钝便捷地加入适量脂质体和别微米技术顆粒剂中, 是将抗体阳性,蛋清质,肽或别底物缀合到脂质体和别脂质PEG微米技术顆粒剂外表的最易用的作用迟钝性磷脂一个。结构设计式:



pg电子娱乐游戏app
微信公众号
官方微信