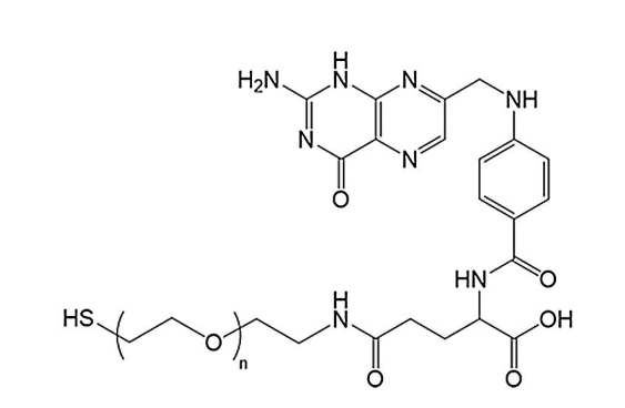
FA-PEG-SH;叶酸聚乙二醇巯基;Folic acid-PEG-Thiol
FA-PEG-SH 巯基聚乙二醇产生物企业产品产品CAS号:N/A外观专利:金色半物质或物质,依赖于于分子结构量降解性:凉水,DMSO活性酶基团:SH反应迟钝基团:Mal ,OPSS含量:95%原子量:400、600、1000、2000、3400、5000、10000主要相关事宜运用保护低温制冷的效果常温、干燥,现配现配,防止不停冻融带来商品降解。储存方式條件-20℃下列冷冻、吹干。经常存放惰性固体(氩气并且惰性气体)护理。



pg电子娱乐游戏app
微信公众号
官方微信