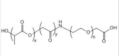
PLGA-PEG-COOH,聚乳酸-羟基乙酸共聚物-聚乙二醇-羧酸,PLGA20K-PEG5K-COOH(50/50)
PLGA-PEG-COOH,聚乳酸-羟基乙酸共聚物-聚乙二醇-羧酸,PLGA20K-PEG5K-COOH(50/50)PLGA 为浅黄色色或没有颜色的元素,PLLGA 和PDLGA 为半单硫化锌,PDLLGA 为非单硫化锌。PLGA 的合并工艺有所差异,其的性能也有所差异。如可以直接饱和溶液缔合合并的 PLGA沸点为 135C,窗户玻璃钢化环境湿度为 50C;同一个相对来说分子结构服务质量 16 万的由乙交和丙交酷开环共缔合并的PLGA,其沸点为 145C,窗户玻璃钢化环境湿度为 55C。常常命名:聚乳酸-羟基乙酸共聚物-聚乙二醇-羧酸英文怎么说英文名字称:PLGA-PEG-COOHPEG原子量要选:350、550、750、1k、2k、3.4k、5k美观:气体/液體消融性:溶解于DMSO、DMF,DCM,溶解于水纯净度:95%+储存能力:-20℃下阴凉太干存有用处:仅使用科学研究,不允许使用人们厂商:绵阳pg电子娱乐游戏app
生物工程

相关产品:


pg电子娱乐游戏app
微信公众号
官方微信