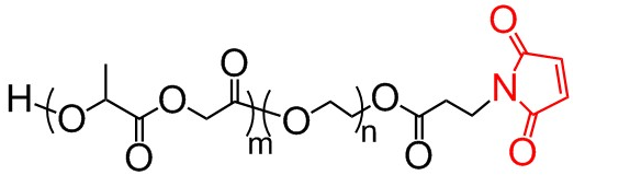
PLGA-PEG-MAL,聚乳酸-羟基乙酸共聚物-聚乙二醇-马来酰亚胺
【类产商品名字大全称】聚(D,L-乳酸-co-无水乙醇酸)-聚乙二醇-马来酰亚胺、PLGA-PEG-MAL【软件详情页】相转移催化剂:氯仿、二氯丁烷、二甲苯、DMF、DMSO等位置生产相转移催化剂。物理性质:体系结构有差异 的分子结构量,呈洁白/类洁白固态物体粉末状原材料或半固态物体。安全性:干燥处理闭光前提条件下冷冻熟食包存,逃避重复冻融。永久另存经济条件:-20℃皮肤干燥、阴凉另存。大分子量(PLGA):5000-30000之前全屋定制 团伙量(PEG ):2000、3400、5000,一些团伙量就可以私人订制。为提高认识品牌的安全性,要注意了力在衡温吹干后来就要打開礼品盒选用!



pg电子娱乐游戏app
微信公众号
官方微信