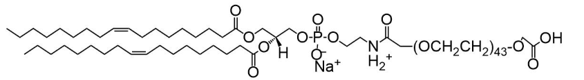
DOPE-PEG-COOH,二油酰磷脂酰乙醇胺-聚乙二醇-羧酸,2342575-87-3
【企业产产品名字】DOPE-PEG-COOH,二油酰磷脂酰甲醇胺-聚乙二醇-羧酸【类产品商品详情】CAS:2342575-87-3液体:DCM,氯仿,温热水等标准有机质液体。特性:来源于其他的分子式量,呈黑色/类黑色物质,或浓稠药液。平衡性:冷库存为,禁止重复多次冻融。大原子量(PEG ):2000、3400、5000,别大原子量还可以私人订制。为确认品牌的稳固性,请主要在温控低温干燥已后能力使用外包装倒取!



pg电子娱乐游戏app
微信公众号
官方微信