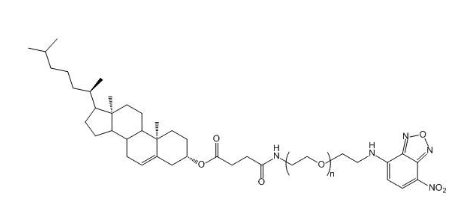
CLS-PEG-NBD;胆固醇-聚乙二醇-硝基苯恶二唑;Cholesterol-PEG2000-NBD
英语名:Cholesterol-PEG-NBD ,CLS-PEG-NBD 汉语名:低密度胆固醇-聚乙二醇-NBD原子量:1000,2000,3400,5000,10000,20000(可按需制定)端基代替率:>>95外型颜色搭配:混合物/纳米银溶液打包品种:1g,5g,10g等 ,打包利索,需要来进行对应的封口贮存因素:-20℃,吹干,减少过频结冻和冷冻熟食,析出性:混溶大部位有机酸高沸点溶剂,混溶水设备可定做:按照其必须的化学制剂采取定做,准确的能否线上销售和企业交流与沟通



pg电子娱乐游戏app
微信公众号
官方微信