TAT-PEG-Chitosan 多肽TAT-聚乙二醇-壳聚糖 TAT-PEG2000-Chitosan
壳聚糖热学无机化学类型
密度 1.75g/cm3
熔点 88ºC
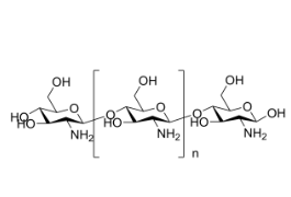
分子式 (C6H13NO5)n
分子量 161.16 (monomer)
外观性状 淡米色固体
折射率 1.7
储存条件
普通封闭闭光,补风皮肤干燥处稳定性
有较强的吸潮性,位居甘油,低于聚乙二醇、山梨醇。拥有稳定的涂膜性、防臭性和生物工程相阴离子型。Chitosan形式式:
英文名:
TAT-PEG2K-壳聚糖 TAT-PEG2000-Chitosan
汉语名:多肽-聚乙二醇-壳聚糖别名:多肽TAT-聚乙二醇-壳聚糖 TAT-PEG-Chitosan
生产地址:西安


pg电子娱乐游戏app
微信公众号
官方微信