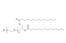
CAS:160743-62-4 DMG-PEG 磷脂-聚乙二醇 DMG-PEG2000
英文翻译名:
DMG-PEG2000
中文名:1,2-二肉豆蔻酰-rac-甘油-3-甲氧基聚乙二醇2000
CAS:160743-62-4别名:磷脂-聚乙二醇 DMG-PEG
机构式:
生产地址:西安


pg电子娱乐游戏app
微信公众号
官方微信