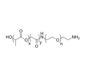
PLGA-PEG-NH2 聚乳酸-羟基乙酸共聚物-聚乙二醇-氨基 PLGA-PEG-Amine
PLGA-PEG-NH2 是一个种合并纳米技术技术胶束的资料。PLGA-PEG-NH2 纳米技术技术胶束是 Irinotecan 靶点结人体肠癌和肝細胞癌的**递送体系。

PLGA20k-PEG5k-NH2 50:50 PLGA-PEG-NH2
简体英语名:PLGA聚(D,L-丙交酯-co-乙交酯)-PEG-胺别名:聚乳酸-羟基乙酸共聚物-聚乙二醇-氨基 PLGA-PEG-Amine
组成部分式:


pg电子娱乐游戏app
微信公众号
官方微信