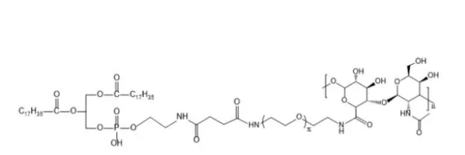
DSPE-PEG-HA 磷脂-聚乙二醇-透明质酸 HA-PEG-DSPE
英语怎么说名:
DSPE-PEG2k-HA5k DSPE-PEG-HA
中文版名:透亮质酸偶连PEG磷脂别名:磷脂-聚乙二醇-透明质酸 HA-PEG-DSPE
其它的分子式量设计纯净度: >95%溶解度性:水存储:-20℃,遮光、防水配送: 4-25℃环境温度算长2周保证期期:-20℃ 1 年空间结构简式:


pg电子娱乐游戏app
微信公众号
官方微信