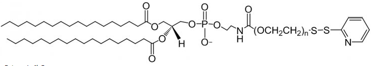
巯基吡啶聚乙二醇磷脂,OPSS-PEG-DSPE,磷脂聚乙二醇巯基吡啶
【产品的分类】常常明称 :磷脂聚乙二醇巯基吡啶、巯基吡啶聚乙二醇磷脂俗称 :OPSS-PEG-DSPE、DSPE-PEG-OPSS【品牌信息】有机质溶液: DMSO,热开水等熟悉有机质有机质溶液。相对性状:系统设计其他的原子核量,呈固态物体金属粉,或黏稠液状体。安全稳定义:速冻存放,避免出现反复不断地冻融。原子核量(PEG ):2000、3400、5000,另外的原子核量可以个性。用 途:只供科研开发实验设计选用,不会于诊疗。为确认商品的比较稳定义,请重视在恒温性比较好皮肤干燥的时候才行拉开产品包装提取!



pg电子娱乐游戏app
微信公众号
官方微信