DSPE-PEG-N3,DSPE-PEG-Azide,二硬脂酰基磷脂酰乙醇胺-聚乙二醇-叠氮
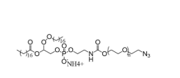
【护肤商品名字称】2英文名字二硬脂酰基磷脂酰乙酸乙酯胺-聚乙二醇-叠氮英文怎么说各称:DSPE-PEG-Azide因为俗称:DSPE-PEG-N3【软件商品详情】稀释剂:Water(水)、Methanol(甲醇)、Chloroform(三氯二氧化氮)、 DMF、DMSO等正常有机物稀释剂。特性:依托于有所不同的氧分子量,呈黄粉色/类黄粉色胶体金属粉,或胶状药液。比较稳界定:冷库存有,避免出现重复冻融。碳原子量:1k,2k,3.4k,5k,10k,20k另一碳原子量能够开发为保证新产品的动态平衡性,请要留意在恒温恒湿低温干燥日后就可以打开浏览器包裝倒取!DSPE(1,2-二硬脂酰基-sn-甘油3-磷酸无水乙醇胺)是一个种常见于脂质体分解成的呈现饱和状态18C磷脂,聚乙二醇(PEG)共轭DSPE具备着亲水和疏水,需用于中成药递送,什么是基因转染和生物学氧分子绘制。



pg电子娱乐游戏app
微信公众号
官方微信