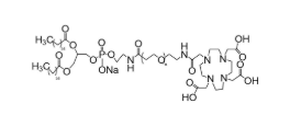
DSPE-PEG-DOTA,磷脂聚乙二醇大环配体,二硬脂酰基磷脂酰乙醇胺-聚乙二醇-四氮杂环配体
【好产商品编码称】中文标题:二硬脂酰基磷脂酰乙酸乙酯胺- 聚乙二醇-四氮杂环配体英文字母名字:DSPE-PEG-DOTA【车辆封装】100mg、50mg(可只能根据耍求私人定制型号)【新产品详细信息】有机的高沸点溶剂:Water(水)、Methanol(甲醇)、Chloroform(三氯二氧化氮)、 DMF、DMSO等正常有机的有机的高沸点溶剂。特性:依据有差异的分子结构量,呈小白/类小白固体颗粒纳米银溶液,或胶状溶剂。固相关性:冷库手机截图,以免反复不断地冻融。原子结构量:1k,2k,3.4k,5k,10k,20k的原子结构量能够 订做为确保安全生产设备的稳明确高性,请小心在恒溫常温、干燥往后就能拉开包装方式提取!DSPE(1,2-二硬脂酰基-sn-甘油3-磷酸无水乙醇胺)就是种选用于脂质体镶嵌的过饱和18C磷脂,聚乙二醇(PEG)共轭DSPE都具有亲水和疏水,可于中成药递送,DNA转染和生态学分子结构绘制。



pg电子娱乐游戏app
微信公众号
官方微信