mPEG-DMPE 可用于形成隐形脂质体 DMPE-PEG
护肤产品英文名称:
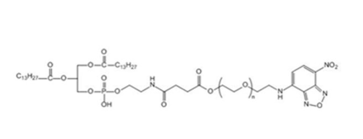
mPEG2000-DMPE 甲氧基PEG双肉豆蔻磷脂
别名:mPEG-DMPE 可用于形成隐形脂质体 DMPE-PEG
内包装:玻璃瓶护肤品讲述:聚乙二醇也是种夺大分子配位混物,物理式是HO(CH2CH2O)nH,无促使性,还包括正常的水可溶解性,并与有很多磷化合物物多组分有正常的相可溶解性。还包括良好的的进行润滑处理性、补水性、分散式性、粘合性,可以作为为防静电放电剂及绵软剂等利用。DMPE-PEG-NBD结构式:



pg电子娱乐游戏app
微信公众号
官方微信