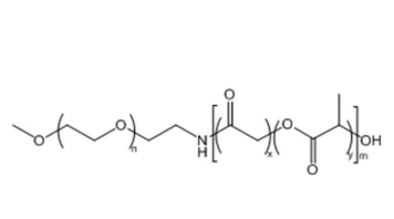
MPEG-PLGA 聚(丙交酯-乙交酯)甲氧基 PLGA-mPEG
软件描诉:PEG表达剂随年均大团伙量的有所不同之处,规定性也是不同之处。从透明色无臭胶状溶液至蜡状粉末状。随大团伙量的减少,其透湿业务能力相关的减低。 产品设备各称:
PEG5000-PLGA5000 甲氧基聚乙二醇 聚(丙交酯-乙交酯)
别名:MPEG-PLGA 聚(丙交酯-乙交酯)甲氧基 PLGA-mPEG
封装:瓶裝设计式:


pg电子娱乐游戏app
微信公众号
官方微信