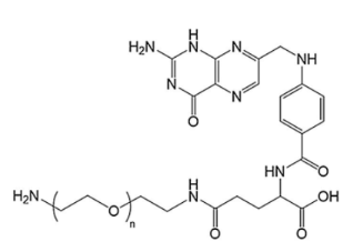
FA-PEG-NH2,MW:2000; 叶酸聚乙二醇氨基;Folic acid-PEG-amine
FA-PEG-NH2 叶酸-聚乙二醇-氨基
繁体中文分类:DHA-聚乙二醇-氨基用英语命名:FA-PEG-NH2/Folic acid-PEG-Amine相转移催化剂:Water(水)、Methanol(甲醇)、 DMF、DMSO等长规有机质相转移催化剂。特性:特征提取不同的的分子式量,呈暗红色/类暗红色气体,或稠状药液。平稳性:冷冻箱留存,减少不间断冻融。原子核量(PEG):1000、2000、3400、5000另外的原子核量也可以计划活力性基团:NH2反响基团:COOH、NHS、CHO需注意事由:以防一直解除冻结,现配在用,提高粗糙
FA-PEG-NH2都是种几丁质酶备孕备孕DHAPEG延伸物,备孕备孕DHA也誉为维他命M、维他命B9或特酰-L-谷氨酸。备孕备孕DHA都是种重点的海洋动物几丁质酶原子核,体现了多种类海洋动物学基本功能。它积极参与DNA的生成、休复和甲基化,并在无数海洋动物症状中替代辅助制作成分。
相应成品:
Cy3-PEG-马来酰亚胺二硬脂酰基磷脂酰乙酸乙酯胺-聚乙二醇-马来酰亚胺1,2-diphytanoyl-sn-glycero-3-phosphoethanolamine 氢化豆子磷脂酰胆碱 四氮杂环12烷四乙酸-五聚乙二醇-氨基小大分子ICG-OSuCy3-N-羟基虎珀酰亚胺酯二油酰基 L-α-磷脂酰酒精胺CAS:1510-21-0

pg电子娱乐游戏app
微信公众号
官方微信