PLGA-PEG2k 50/50 聚乳酸-羟基乙酸共聚物-聚乙二醇
PLGA邮包的放化疗类药,均是选取这处于普攻靶向治疗治疗手段,以扩大抗催化活性,变长巡环系统日子及及避免出现类药与血浆的遇到来改善类药的稳定义性。列如 ,PEG化PLAG納米级塑料颗粒载的半衰期比轻松自由的类药要高3.7倍。在类药处于普攻靶向治疗治疗中,嗜菌腐化效用会延缓类药在血浆中巡环系统日子,而PEG化的PLGA納米级塑料颗粒主要是因为PEG的隐敝效用,阻挡了嗜菌腐化效用对納米级塑料颗粒的功能因而变长巡环系统日子。成产品命名称:
PLGA-PEG2k 50/50 甲氧基聚乙二醇-聚(D,L-丙交酯-co-乙交酯)
别名:PLGA-PEG 聚乳酸-羟基乙酸共聚物-聚乙二醇 PLGA-PEG2k 50:50
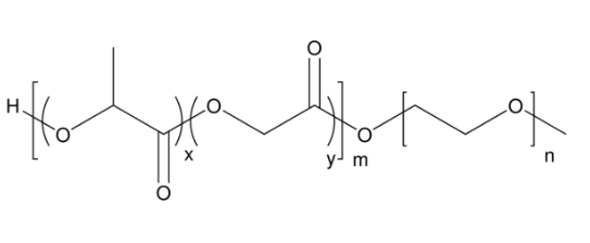
格局式:


pg电子娱乐游戏app
微信公众号
官方微信