Sulfo CY7-DBCO;近红外荧光染料Sulfo-Cyanine7 DBCO
Sulfo CY7-DBCO;近红外荧光染料Sulfo-Cyanine7 DBCO
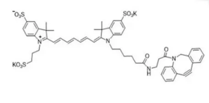
Sulfo-Cyanine7 DBCO,磺酸基-花青素Cy7 二苯并环辛炔是Cy7(Cyanine 7)的水溶型。它的光谱仪质地和Cy7差不多,属近红外荧光染色剂。磺化Cy7水可溶极其好,可在水相标签症状组织体制中就直接选择,不所需充分石油醚助溶,尤其是好标签对充分石油醚特别敏感的动物碳原子。另一方面因此强水溶解性加染色剂团伙身通电的荷,磺化Cy7标识到海洋生物团伙表皮后会引致疏丙烯酸乳液涌入,的提升荧光标识物质的稳界定高性 。繁体中文名称:磺酸基-花青素Cy7二苯并环辛炔用英语名:Sulfo-Cyanine7 DBCO,Sulfo-Cy7-DBCOCAS号:N/A化学反应式:C54H56K2N4O11S3团伙量:1111.43


pg电子娱乐游戏app
微信公众号
官方微信