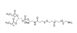
DSPE-SS-PEG-NH2,二硬脂酰基磷脂酰乙醇胺-双硫键-聚乙二醇-氨基
【的产商品编码称】中文版名字:二硬脂酰基磷脂酰工业乙醇胺-双硫键-聚乙二醇-氨基英文音标各称:DSPE-SS-PEG-NH2【车辆详情介绍】溶液:Water(水)、Methanol(甲醇)、Chloroform(三氯丁烷)、 DMF、DMSO等传统有机化学溶液。特性:应用于各不相同的原子核量,呈黄色/类黄色固状咖啡豆,或胶状夜体。稳定义性:冷藏箱保留,以免老是冻融。原子量(PEG ):2000、3400、5000,某个原子量也可以定制化。为确保安全生产物品的稳定可靠性,请重视在恒温恒湿干涩然后这样才能访问外包装倒取!



pg电子娱乐游戏app
微信公众号
官方微信