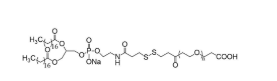
磷脂-SS-聚乙二醇-羧基,DSPE-SS-PEG-COOH,羧基聚乙二醇-二硫键-二硬脂酰基磷脂酰乙醇胺
【好产产品种类】汉语分类: 磷脂-SS-聚乙二醇-羧基国外英文命名:DSPE-SS-PEG-COOH【商品淘宝手机端】有机质萃取剂:Water(水)、Methanol(甲醇)、Chloroform(三氯二氧化氮)、 DMF、DMSO等常见有机质有机质萃取剂。固判定:食品冷藏存为,不要间断性冻融。分子式式量(PEG ):2000、3400、5000,另一分子式式量可不可以来样加工。为狠抓软件的承载能力处理高性,请还要注意在衡温粗糙往后才会打开文档标签印刷拿取!



pg电子娱乐游戏app
微信公众号
官方微信