DSPE-COOH,磷脂-羧酸,DSPE伯氨基改性羧酸
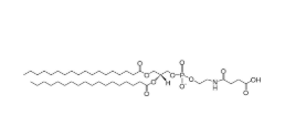
【商名稱称】中文版称呼:二硬脂酰磷脂酰酒精胺增韧羧酸中文翻译別名:磷脂-羧酸;DSPE伯氨基渗透型羧酸英文翻译各称:DSPE-COOH【厂品详情页】稀释剂:Methanol(甲醇)、Chloroform(三氯丁烷)、 DMF、DMSO等常规检查无机稀释剂。不稳相关性性:要在冷藏室手机截图手机截图,以免不间断冻融。为加强组织领导品牌的比较稳相关性,请注重在衡温太干时候才可以打開设计运用!DSPE(1,2-二硬脂酰基-sn-甘油3-磷酸乙酸乙酯胺)也是种普遍于脂质体生成的过剩18C磷脂



pg电子娱乐游戏app
微信公众号
官方微信