DSPE-PEG-Cyanine5;花青素Cy5-聚乙二醇-磷脂;DSPE-PEG-Cy5,MW:2000
英文字母:DSPE-PEG-Cy5,Cyanine5-PEG-DSPE常常:磷脂-聚乙二醇-花青素Cy52、CAS偏号:N/A3、归属区分:DSPE PEG Fluorescein(FITC) PEG4、大分子量:可来样加工,磷脂-PEG 1-花青素Cy5、DSPE-PEG 2-Cy5,DSPE-聚乙二醇 3.4-花青素Cy5、Cyanine5-PEG 5-DSPE,DSPE-PEG 10-花青素Cy5、磷脂-聚乙二醇 20-花青素Cy55、的品质控住:95+%6、贮存: -20℃可经常存储,提前准备阴凉并处于吹干处

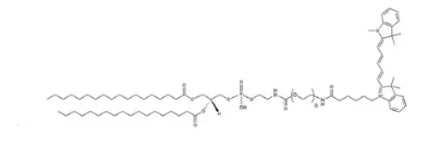
DSPE-PEG-Cy5是一个种内含Cy5染剂的PEG磷脂两亲性合成树脂物,广泛用于血清质/珠心疼箭头和荧光显微镜。
该混物物不错在水饱和溶液中自组装流水线以达成胶束/脂质单层,接成于制法适用递送营养品材质的脂质体或nm颗粒剂,如mRNA或DNA防疫针。
DSPE(1,2-二硬脂酰基-sn-甘油-3-磷酸甲醇胺)是一种种过饱和的18碳磷脂,兼备间距疏水。
对应物品:介孔二氧化的硅納米微粒(50nm)巯基全透明质酸酶钠 MW:150KBIOTIN-PEG6-MALPLGA-35K(50:50)羧基封端DOPE-多肽开发肝素-炔基DSPE-PEG-Cy5,MW:2000ICG-DBCODSPE-PEG2000-NH2DSPE-PEG2000-杨枝糖L-α-磷脂酰胆碱DSPE-PEG2000-NH2

pg电子娱乐游戏app
微信公众号
官方微信