DOPE-S-S-PEG3.4K 磷脂-SS-聚乙二醇 DOPE-SS-mPEG5000
的产产品明称:
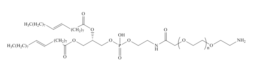
磷脂-双硫键-聚乙二醇 DOPE-S-S-PEG3.4K
别名:磷脂-SS-聚乙二醇 DOPE-SS-mPEG5000 聚乙二醇-双硫键-磷脂
固界定:普通过热蒸汽下固定PDI:1.05max含氧量:95%+DOPE-PEG结构的式:


pg电子娱乐游戏app
微信公众号
官方微信