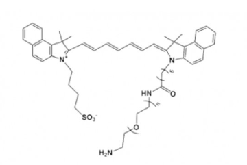
NH2-PEG2000-ICG;氨基聚乙二醇吲哚菁绿;Amine-PEG-ICG
ICG-PEG-Amine 吲哚菁绿-聚乙二醇-NH2光谱范畴ICG amine该新产品行主要用于血液造影,该近红外纺织纺织染料的主激发光谱为800-835nm。ICG Amine吲哚菁绿氨基荧光纺织纺织染料导弹主激发光谱Indocyanine Green,ICG,吲哚菁绿CAS:3599-32-4一种三碳菁染剂,兼有好的水无水磷酸氢,原子核量为775,中文字简称:吲哚菁绿-聚乙二醇-NH2英文字母名字大全:ICG-PEG-AmineCAS:1686147-55-6原子式:C47H56N4O4S碳原子量:773.04含量:98%内包装:桶装详细地址:浙江降解性:溶于于甲醇、DMF等充分高沸点溶剂,溶于于水



pg电子娱乐游戏app
微信公众号
官方微信