DSPE-PEG-Angiopep-2 Angiopep-2-聚乙二醇-磷脂 DSPE-PEG-TFFYGGSRGKRNNFKTEEY
的产产品称谓:
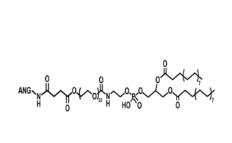
磷脂-聚乙二醇-Angiopep-2多肽 DSPE-PEG-TFFYGGSRGKRNNFKTEEY
别名:Angiopep-2-聚乙二醇-磷脂 DSPE-PEG-Angiopep-2 Angiopep-2多肽-聚乙二醇-磷脂
平衡度处理性:常溫卧式储罐下平衡度处理PDI:1.05max含锌量:95%+结构的式:


pg电子娱乐游戏app
微信公众号
官方微信