DSPE-PEG-FITC 荧光素-聚乙二醇-磷脂 DSPE-PEG5K-FITC
软件标题:
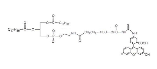
荧光标记PEG磷脂 DSPE-PEG3.4K-FITC
别名:荧光素-聚乙二醇-磷脂 DSPE-PEG5K-FITC DSPE-PEG2000-FITC
留存的时间 半年端基转变率:≥95%数据存储生活条件:-20°C,背光,避湿结构设计式:


pg电子娱乐游戏app
微信公众号
官方微信