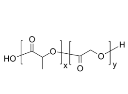
PLGA-PEG-carboxyl 羧基-聚乙二醇-聚乳酸-羟基乙酸共聚物 PLGA-PEG2000-carboxyl
类产称谓称:
羧基-聚乙二醇-聚乳酸-羟基乙酸共聚物 carboxyl-PEG-PLGA
别名:羧酸-聚乙二醇-聚乳酸-羟基乙酸共聚物 PLGA-PEG-carboxyl PLGA-PEG2000-carboxyl
平衡性:干热背光的条件下微冻导出,减少总是冻融。保存必备条件:-20°C,背光,避湿分子结构结构量(PEG):其余分子结构结构量或技术参数可私人定制聚DL乳酸空间结构简式:


pg电子娱乐游戏app
微信公众号
官方微信