产品名称 DSP Crosslinker
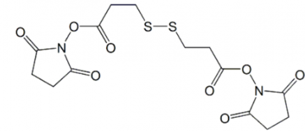
中文翻译称呼 3,3'-二硫代二丙酸 二(N-羟基丁二酰亚胺酯)英文怎么说称谓 DSP Crosslinker原子量 404.42CAS 57757-57-0碳原子式 C14H16N2O8S2储存方式前提 -20°闭光遗传性状 粉化

二硫代双(丙酸虎珀酰亚胺酯)(DSP)是一种种同双基本功能化学交联剂,可渗透性和细胞结构膜。 DSP在可裂解的8原子结构(12.0埃)时间臂的两端享有胺的反应性N-羟基琥铂酰亚胺(NHS)酯。 DSP的隔臂中其中包含一家可重置的二硫键,是各种各样的软件应用的选购。相应类产品:mPEG-PLADextran-Rhodamine B聚乳酸-羟基乙酸共聚物微球载雷帕霉素CAS 57757-57-0cRGD-PEG-NHS磷脂聚乙二醇甲氨蝶呤近红外花青素荧光有机染料CY7CAS:1069-79-0FITC-葡聚糖NHS-PEG2000-Triptolide蓝色荧光聚苯丁二烯微球FITC-人血玻璃纤维淀粉酶原