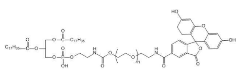
磷脂-PEG-荧光素;DSPE-PEG-FITC,MW3400;DSPE-PEG-荧光素
货品淘宝手机端:化学制剂美观:蓝绿色/黄色的固体颗粒或黏力液态体在于于大分子量中文版标题:磷脂-聚乙二醇-荧光素,磷脂-PEG-荧光素英语称呼:DSPE-PEG-FITC,DSPE-PEG-Fluorescein,FITC PEG DSPE,Fluorescein PEG DSPE原子量:1000,2000,3400,5000,10000,20000(可按需开发)溶解度要求:>>95,HPLC液质色谱存放先决条件:-20°C 下背光保护的用途:仅中用研发,未能中用人尺寸问题:1g,5g,10g(尺寸多重,具有的也可以去与人沟通



pg电子娱乐游戏app
微信公众号
官方微信