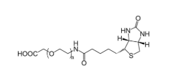
生物素-聚乙二醇-羧基,COOH-PEG-Biotin,Biotin-PEG-acid
【好产商品编码称】英文版公司名称:动物素-聚乙二醇-羧基 英语公司名称:COOH-PEG-Biotin,Biotin-PEG-acid【设备详细信息】特性:通过区别的团伙量,白/类白物质,或乳白色流体。溶液:水,氯仿,DMSO,二氯丁烷等常规化有机肥料溶液。保存文档前提条件:冷库保存文档,尽量避免老是冻融。单一指数公式:≤1.05原子核量(PEG ):2000、3400、5000,另一个原子核量能订制。为切实保障车辆的增强性,请特别注意在常温烘干后才拉开纸盒包装倒取!



pg电子娱乐游戏app
微信公众号
官方微信